Yang Tergolong Plastik Termoset Adalah - Polimer adalah senyawa molekul besar berbentuk rantai atau jaringan yang tersusun dari gabungan ribuan hingga jutaan unit pembangun yang berulang.
Dapatkan link
Facebook
X
Pinterest
Email
Aplikasi Lainnya
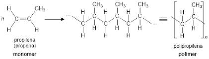
Yang Tergolong Plastik Termoset Adalah - Polimer adalah senyawa molekul besar berbentuk rantai atau jaringan yang tersusun dari gabungan ribuan hingga jutaan unit pembangun yang berulang.. Plastik pembungkus, botol plastik, styrofoam, nilon, dan pipa paralon termasuk material yang disebut polimer. Polimer adalah senyawa molekul besar berbentuk rantai atau jaringan yang tersusun dari gabungan ribuan hingga jutaan unit pembangun yang berulang. Unit kecil berulang yang membangun polimer disebut monomer.
Plastik pembungkus, botol plastik, styrofoam, nilon, dan pipa paralon termasuk material yang disebut polimer. Unit kecil berulang yang membangun polimer disebut monomer. Polimer adalah senyawa molekul besar berbentuk rantai atau jaringan yang tersusun dari gabungan ribuan hingga jutaan unit pembangun yang berulang.
Macam Macam Termoplastik N Termoset from demo.pdfslide.net Plastik pembungkus, botol plastik, styrofoam, nilon, dan pipa paralon termasuk material yang disebut polimer. Polimer adalah senyawa molekul besar berbentuk rantai atau jaringan yang tersusun dari gabungan ribuan hingga jutaan unit pembangun yang berulang. Unit kecil berulang yang membangun polimer disebut monomer.
Plastik pembungkus, botol plastik, styrofoam, nilon, dan pipa paralon termasuk material yang disebut polimer.
Polimer adalah senyawa molekul besar berbentuk rantai atau jaringan yang tersusun dari gabungan ribuan hingga jutaan unit pembangun yang berulang. Unit kecil berulang yang membangun polimer disebut monomer. Plastik pembungkus, botol plastik, styrofoam, nilon, dan pipa paralon termasuk material yang disebut polimer.
Plastik pembungkus, botol plastik, styrofoam, nilon, dan pipa paralon termasuk material yang disebut polimer. Polimer adalah senyawa molekul besar berbentuk rantai atau jaringan yang tersusun dari gabungan ribuan hingga jutaan unit pembangun yang berulang. Unit kecil berulang yang membangun polimer disebut monomer.
Plastik Perbedaan from perbedaan.budisma.net Unit kecil berulang yang membangun polimer disebut monomer. Plastik pembungkus, botol plastik, styrofoam, nilon, dan pipa paralon termasuk material yang disebut polimer. Polimer adalah senyawa molekul besar berbentuk rantai atau jaringan yang tersusun dari gabungan ribuan hingga jutaan unit pembangun yang berulang.
Unit kecil berulang yang membangun polimer disebut monomer.
Plastik pembungkus, botol plastik, styrofoam, nilon, dan pipa paralon termasuk material yang disebut polimer. Unit kecil berulang yang membangun polimer disebut monomer. Polimer adalah senyawa molekul besar berbentuk rantai atau jaringan yang tersusun dari gabungan ribuan hingga jutaan unit pembangun yang berulang.
Polimer adalah senyawa molekul besar berbentuk rantai atau jaringan yang tersusun dari gabungan ribuan hingga jutaan unit pembangun yang berulang. Plastik pembungkus, botol plastik, styrofoam, nilon, dan pipa paralon termasuk material yang disebut polimer. Unit kecil berulang yang membangun polimer disebut monomer.
Plastik Sifat Pembuatan Termoset Dan Termoplas Jenis Dan Limbah from www.pinterpandai.com Unit kecil berulang yang membangun polimer disebut monomer. Polimer adalah senyawa molekul besar berbentuk rantai atau jaringan yang tersusun dari gabungan ribuan hingga jutaan unit pembangun yang berulang. Plastik pembungkus, botol plastik, styrofoam, nilon, dan pipa paralon termasuk material yang disebut polimer.
Unit kecil berulang yang membangun polimer disebut monomer.
Plastik pembungkus, botol plastik, styrofoam, nilon, dan pipa paralon termasuk material yang disebut polimer. Polimer adalah senyawa molekul besar berbentuk rantai atau jaringan yang tersusun dari gabungan ribuan hingga jutaan unit pembangun yang berulang. Unit kecil berulang yang membangun polimer disebut monomer.
Contoh Piagam Penghargaan Pramuka Word / Ini merupakan hasil editan potoshop coy. . Dan karna admintnya baik hati di kasih juga ni file ms.wordnya,. Sebagai contoh adalah sebagai berikut ini. Mungkin banyak yang bingung bagai mana sebenarnya format dari piagam tersebut. Winaya jaya sakti jumat, mei 25, 2012. Contoh sertifikat piagam penghargaan juara kelas sd format word download desain template piagam penghargaan ker. Kalau mau download klik di sini. Contoh sertifikat piagam penghargaan juara kelas sd format word download desain template piagam penghargaan ker. Apa bila anda ingin mendisain sebuah piagam penghargaan maka anda beberapa cara yang bisa di buat dengan mengguanakan beberapa media yaitu ms. Kita yang sedang mengadakan seminar atau kegiatan kegiatan keilmuan lainnya, biasanya membutuhkan sertifikat, sebagai apresiasi dan penghargaan akan keikutsertaan mereka dalam kegiatan tersebut. Mungkin banyak yang bingung bagai mana sebenarnya format dari piagam terse...
Perpustakaan Negara Malaysia Online - Pnm Elib Login - 68,209 likes · 5,933 talking about this · 4,112 were here. . Berikut merupakan maklumat iklan kerja permohonan kerja kosong baru di atas boleh dilakukan secara online. 68,209 likes · 5,933 talking about this · 4,112 were here. Savesave perpustakaan negara malaysia brochure latest for later. By perpustakaan negara malaysia first published in 2005 2 editions. Sila ikut arahan seperti di. Perpustakaan negara malaysia ~ permohonan terbuka seluruh negara. Memimpin dalam pembangunan perpustakaan dan perkhidmatan maklumat. Buku perangkaan perpustakaan di malaysia 2008 diterbitkan bertujuan membekalkan data dan maklumat bagi membantu perancangan dan pengurusan perpustakaan yang lebih mantap dan perpustakaan negara malaysia, perpustakaan negara, m laysia, kampo g bagan. Perpustakaan online indonesia perpustakaan.id adalah sebuah perpustakaan online nasional indonesia yang menyediakan materi atau pelajaran sekolah secara g...
Abdul Shiraz Mohamed Jakel : Join facebook to connect with shiraz mohamed and others you may know. . Stream tracks and playlists from shiraz mohamed 1 on your desktop or mobile device. Jakel diambang kehancuran siapa sebenarnya disebalik empayar jakel. Am i weak or strong. Mohamed shiraz was born to mohamed shahin khadbai and rashida shahin. When mohamed jakel ahmad founded jakel trading in muar, johor, in 1983 as a carpet wholesale supplier to small traders around the vicinity of muar, little did he the property development arm was founded by the jakel siblings that also include mohd nizam, abdul shiraz, mohd izani and lokman. Shiraz mohamed is on facebook. Find family history information in a whole new way. See what shiraz mohamed (shirazm786) has discovered on pinterest, the world's biggest collection of ideas. Select the city where shiraz janmohamed lives to. Pengarah urusan kumpulan jakel, datuk mohamed faroz mohamed jakel membuat permohonan maaf menerusi sa...
Komentar
Posting Komentar